TMB is used to guide PD-1-directed immunotherapy in solid tumor Oncology. However, it has not been systematically studied in AML, where the focus has been on cytogenetic risk and individual driver gene mutations (GM's). TMB contribution to AML epidemiology is also uncertain. We therefore studied its association with epidemiologic risk factors; driver GM's and somatic mutations (SM's) in AML risk genes which we recently demonstrated (ABCB1; CYP1A1; CYP2B6; EPHX1; ERCC1,2,& 5; MEFV; MTRR; and TERT); clinical and cytogenetic features; and outcome after therapy in the MCAEC, a highly annotated clinical epidemiology cohort of consecutive AML pts [Finn, Cancer Epidemiol 39:1084, 2015].

Methods:

We obtained somatic leukemia DNA from remnant diagnostic cytogenetic pellets in 98 MCAEC patients (pts), as previously described [Foran, Blood (2017) 130:570a]. Whole exome sequencing (WES) was performed at depth of ~100 million paired end 100bp reads using Agilent SureSelectXT Human All Exon V5 + UTRs target enrichment kit. Reads were mapped to human genome build hg19 using BWA-MEM. Single nucleotide variants (SNVs) and small INDELs were identified using Mayo Clinic (MC) analytic pipeline GenomeGPS 4.0.1 following Broad GATK variant discovery best practices of alignment, realignment and recalibration, and multi-sample joint genotyping; and filtered using both germline whole exome and genome sequencing of ~1200 MC Biobank samples and public germline variant databases of 1000 genome project, 6500 individuals in exome sequencing project, and HapMap phase 3. Remaining variants were annotated using ANNOVAR, and functional variants of non-synonymous, truncating, frame-shift, and splice-sites were used in the statistical association analyses.

TMB was defined as the number of functional mutations per Mb of coding region, heterozygous or homozygous. TMB associations with epidemiologic risk, clinical characteristics, and SM's in AML risk genes (listed above) or driver GM's (occurring in 5 or more pts: ASXL1, BCOR, CEBPA, DNMT3A, FLT3, IDH2, KRAS, MLL2-5, NF1, NPM1, NRAS, PHF6, RUNX1, SF3B1, STAG2, TET2, TP53, U2AF1) were evaluated using linear regression models; a rank transformation of TMB was utilized due to its skewed distribution. Multivariable analysis (MVA) models were adjusted for variables with p-value <0.05 in unadjusted analysis. Regression coefficients ("β") were estimated, interpreted as change in mean TMB rank for specified variables or characteristic. Associations with outcomes were examined using logistic regression or Cox proportional hazards regression models. All statistical tests were two-sided (version 3.6.2; R Foundation for Statistical Computing, Vienna, Austria).

Results

Median age at AML diagnosis was 70 yrs (Range: 19-94 yrs), and 67 pts were male. Cytogenetic risk group was favorable (7%), intermediate-normal (46%) or abnormal (20%), and poor risk (27%). 40/61 pts (66%) achieved complete remission (CR). With a median follow-up of 8.0 months (Range: 0.1 - 186), 80 pts (82%) died and 20 (20%) underwent allogeneic transplantation (AlloBMT).

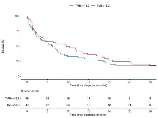
Median TMB was 18.2 (Range: 15.0-70.1). In MVA, significant associations with increased TMB were observed in pts with history of prior immunosuppressive therapy or solid organ transplantation (β=19.48, P=0.015), and with FLT3 (β=21.12, P=0.015), MLL2 (β=20.91, P=0.001), and MLL3 (β=11.31, P=0.031) GM's. A borderline association was observed for U2AF1 (β=16.14, P=0.057). TMB was also associated with SM's in TERT (β=25.13, P=0.028); a borderline association with SM's in ABCB1 was not confirmed in MVA (β=-17.98, P=0.069). Additionally, cytogenetic risk group was associated with TMB in MVA (P=0.005), being highest in intermediate-normal and lowest in poor risk groups. Body Mass Index was inversely associated with TMB (unadjusted β=-16.99, P=0.005), but unconfirmed in MVA (β=-8.29, P=0.12).

There was no association with CR (OR=0.93, P=0.46), use of (HR=0.96, P=0.64) or relapse risk (HR=1.00, P=0.98) following AlloBMT, or survival (HR=0.97, P=0.56) (Figure).

Conclusions

Measurement of TMB is feasible in this AML epidemiologic cohort, and we observed important associations with AML risk factors, risk gene SM's, cytogenetic risk group, and driver GM's. We acknowledge the relatively small sample size and possibility of type II error, and therefore these observations require validation in a large prospective cohort which is planned.

Disclosures

Foran:OncLive: Honoraria; certara: Honoraria; actinium: Research Funding; boehringer ingelheim: Research Funding; novartis: Honoraria; abbvie: Research Funding; servier: Honoraria; taiho: Honoraria; pfizer: Honoraria; revolution medicine: Honoraria; gamida: Honoraria; takeda: Research Funding; sanofi aventis: Honoraria; trillium: Research Funding; syros: Honoraria; aptose: Research Funding; bms: Honoraria; kura: Research Funding; h3bioscience: Research Funding; aprea: Research Funding; sellas: Research Funding; stemline: Research Funding. Murthy:CRISPR Therapeutics: Research Funding. Finn:Jazz: Consultancy, Speakers Bureau; BMS: Consultancy, Speakers Bureau; BeiGene: Consultancy, Speakers Bureau; ADC Therapeutics: Consultancy, Speakers Bureau. Badar:Pfizer Hematology-Oncology: Membership on an entity's Board of Directors or advisory committees. Cerhan:Celgene/BMS: Other: Connect Lymphoma Scientific Steering Committee, Research Funding; Genentech: Research Funding; NanoString: Research Funding; Regeneron Genetics Center: Other: Research Collaboration.

Sign in via your Institution